コンテンツへスキップ

秋田県鹿角市塾家庭教師 塾 Schule 満流儀 安保 満

秋田県鹿角市八幡平の塾 Schule 満流儀で一斉講義をする傍ら、個別指導(家庭教師)も行っています。

最近の投稿

  • 塾生質問 二次不等式
  • $(3x+1)(3x+3)$を展開せよ。
  • 中三で習う乗法公式
  • 文字式の展開
  • 因数分解と分配法則

固定ページ

  • 指導者について
  • 英数を無敵に!

最近のコメント

    アーカイブ

    • 2026年2月
    • 2026年1月
    • 2025年12月
    • 2025年10月
    • 2025年9月
    • 2025年4月
    • 2025年3月
    • 2025年2月
    • 2025年1月
    • 2024年12月
    • 2024年11月
    • 2024年10月
    • 2022年8月
    • 2019年12月
    • 2019年10月
    • 2019年5月
    • 2019年4月
    • 2019年3月
    • 2019年2月
    • 2018年11月
    • 2018年10月
    • 2018年6月
    • 2018年3月
    • 2018年2月
    • 2017年12月
    • 2017年6月
    • 2017年5月
    • 2017年4月
    • 2017年3月
    • 2017年2月
    • 2017年1月
    • 2016年7月
    • 2016年6月

    カテゴリー

    • 中学数学
    • 小学数学
    • 未分類
    • 英語
    • 高校数学

    メタ情報

    • ログイン
    • 投稿フィード
    • コメントフィード
    • WordPress.org

    月: 2025年9月

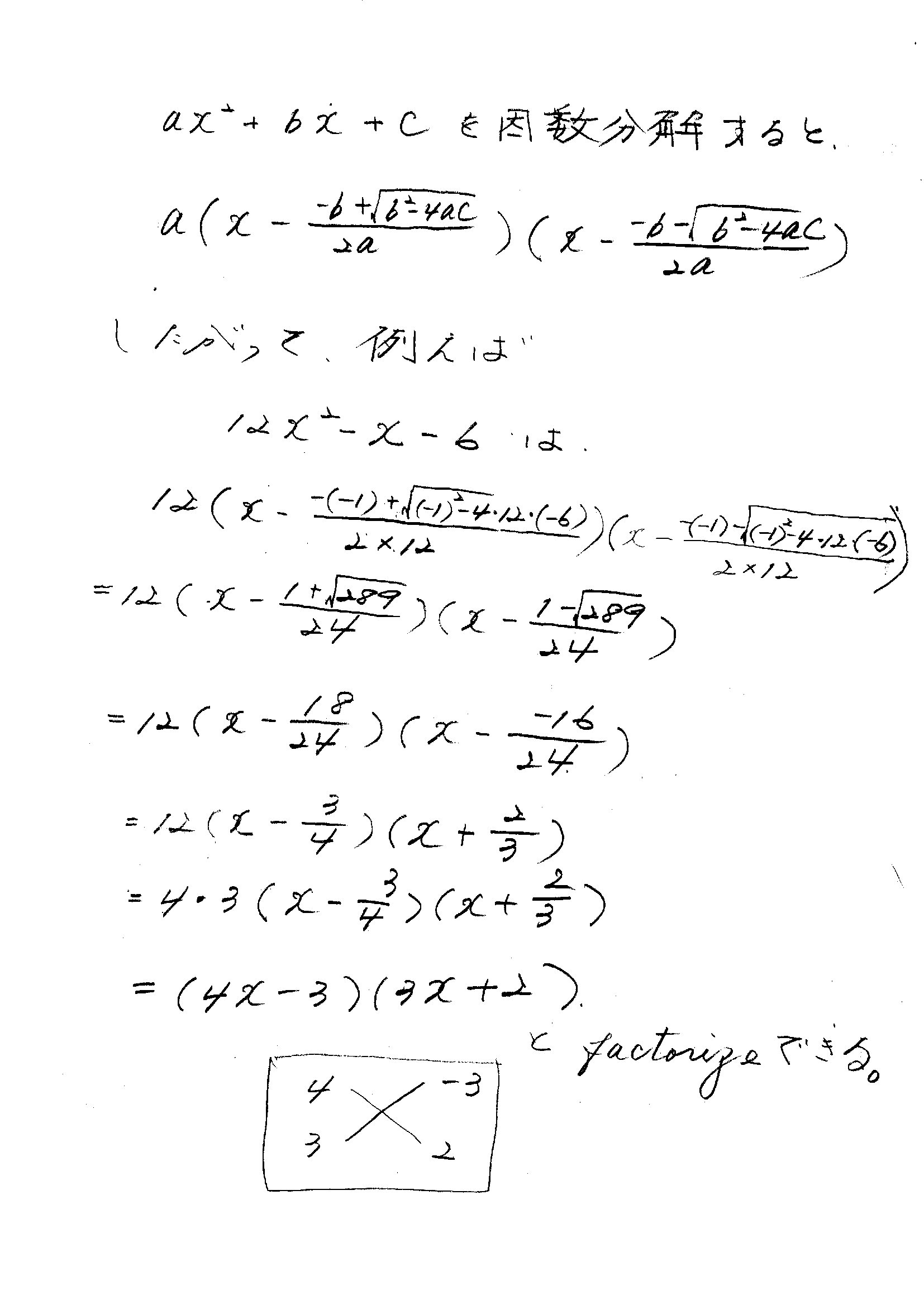
    たすき掛けに頼らない因数分解

    投稿日: 2025年9月7日カテゴリー 中学数学たすき掛けに頼らない因数分解 にコメントを残す
    Proudly powered by WordPress