1
(1)
$-2\times(4-7)$
$=-2\times(-3)$
$=6$
(2)
$5a+2b-2(3a-b)$
$=5a-6a+2b+2b$
$=-a+4b$
(3)
x を2倍して3を加えた数は$2x+3$であり、$y$はこの数$2x+3$より大きいから、
$y>2x+3$
(4)
a について解くとは、aを左辺、a以外の項を右辺に移項した後で、aの係数で両辺を割り$a=ほにゃらら$の形にすることである。
$4a+5b=8$
→ (移項)$4a=-5b+8$
→ (aの係数4で両辺を割る)$a=\displaystyle\frac{-5b+8}{4}$
→ (8は4で割り切れるので次のように回答してもよい)$a=-\displaystyle\frac{5}{4}b+2$
(5)
$\displaystyle\sqrt{18}-\frac{4}{\sqrt{2}}$
$=\sqrt{2\times3^2}-\displaystyle\frac{4\sqrt{2}}{\sqrt{2}\sqrt{2}}$
$=3\sqrt2-\displaystyle\frac{4\sqrt{2}}{2}$
$=3\sqrt2-2\sqrt2$
$=\sqrt2$
(6)
$\begin{eqnarray} \left\{ \begin{array}{l} 3x + y = 5 -①\\ x – 2y = 11 -②\end{array} \right. \end{eqnarray}$
$①×2+②$
$6x+2y=10$
+
$x-2y=11
↓
$7x=21$
$x=3-③$
③を①に代入して
$3\times3+y=5$
$y=5-9=-4$
∴ $\begin{eqnarray} \left\{ \begin{array}{l} x = 3\\ y = -4\end{array} \right. \end{eqnarray}$
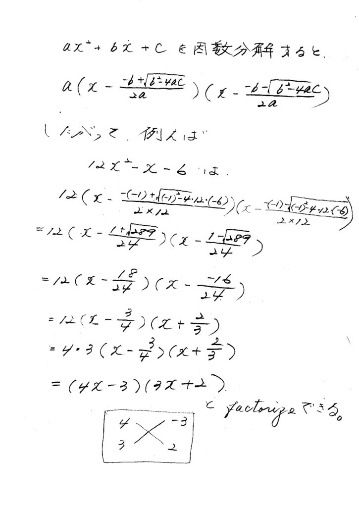
(7)
$3x^2-x-1$は因数分解できないので、$3x^2-x-1=0$の解は解の公式を使い、
$\displaystyle =\frac{1±\sqrt{1-4\times3\times(-1)}}{2\times3}$
$\displaystyle =\frac{1±\sqrt{13}}{6}$
(8)
$x^2-2x-3$は$(x-3)(x+1)$と因数分解できる。これに$x=1+\sqrt{5}$を代入して、
$(1+\sqrt{5}-3)(1+\sqrt{5}+1)$
$=(\sqrt{5}-2)(\sqrt{5}+2)$
$=5-4=1$
(9)
碁石をよくかき混ぜるとは、50個の碁石を抽出する前後で全体の碁石の数(白い碁石と黒い碁石を足した数)の中に占める黒い碁石の数の割合が変わらないといいうことである。
白い碁石の数を$x$個とすると、50個の碁石を抽出する前の黒い碁石の全体に占める割合は$\displaystyle\frac{100}{x+100}$、また抽出後の黒い碁石の全体に占める割合は$\displaystyle\frac{7}{50}$であるから、
$\displaystyle\frac{100}{x+100}=\frac{7}{50}$が成り立つ。
$7(x+100)=50\times100$
$7x=5000-700$
$\displaystyle x=\frac{4300}{7}≒614≒610$
(10)
(11)
PQ、QRとABとの交点をそれぞれS、Tとすると、∠ASP=65°=∠QSB、
∠QSB+∠Q=65°+60°=125°=∠ATR(外角定理)=x+∠B=x+90°
∴ $x=125°-90°=35°
(12)
ガラス玉4個の体積は、
$\displaystyle \frac{4・3^3・π}{3}・4$
$=16・9π$
水面の上昇を$x$cmとすると以下の等式が成り立つ。
$8^2π・x=8・2・4π・x=16・9π$
$\displaystyle x=\frac{9}{4}$
したがって、容器の底から水面までの高さは、
$10+\displaystyle \frac{9}{4}$
$=\displaystyle \frac{49}{4}$
2
(1) 不正解数は$20-x$と表すことができるから、
$10x-5(20-x)$
(2)
ア $n+1$
イ $n+2$
ウ n+n+2=2n+2=2(n+1)
n +1は真ん中の整数だから,2( n +1)は真ん中の整数の2倍である。
(3)
①点Aを中心とし、BCの一部を弦に持つ円を描く。
②①で描いた円とBCとの二つの交点から等距離にあるAとは反対側の任意の交点を描き点Dとする。
③ADとBCとの交点をPとする。
(4)
①
ア $a<0,b>0$ |a|>|b|のときは負 ×
イ 負-正で必ず負になる ×
ウ 正-負で必ず正になる 〇
エ 負×正で必ず負になる ×
②
A(4,3) B(0,1)を通るから、
$y=\displaystyle \frac{3-1}{4-0}(x-0)+1$
$y=\displaystyle \frac{1}{2}x+1$





